변수 사이의 관계
- X변수(원인)과 Y변수(결과) 사이의 관계
1. 확정적 관계
2. 확률적 관계 - 확정적 관계 : X변수만으로 Y를 100% 표현 (오차항 없음)
$$Y=f(X)$$
예) 힘 = f(질량, 가속도), 주행거리 = f(속도, 시간) - 확률적 관계 : X변수와 오차항이 Y를 표현 (오차항 있음)
$$Y=f(X)+\varepsilon$$
예) 반도체 수율 = f(설비 파라미터들의 상태, 온도, 습도) + $\varepsilon$
포도주 가격 = f(강우량, 온도, 포도품종) + $\varepsilon$
위조카드 여부 = f(사용시간, 사용액, 사용장소) + $\varepsilon$ - 대부분의 머신러닝, 데이터 분석이 설명하는 관계는 '확률적 관계'인 경우가 많다.
선형회귀모델
- 선형회귀모델 : 출력변수 Y를 입력변수 X들의 선형결합으로 표현한 모델
- 선형 결합 : 변수들을 (상수 배와) 더하기 빼기를 통해 결합
- X변수 한 개가 Y를 표현하는 경우 : $Y=\beta_{0}+\beta_{1}X$ (직선식)
선형회귀모델링의 목적
$$Y=\beta_{0}+\beta_{1}X$$
1. X변수와 Y변수 사이의 관계를 수치로 설명 (예. $\beta_{1}=2$ 이면 X가 1 증가할때 Y가 2 증가하고,
$\beta_{1}=0$이면 X에 상관없이 Y가 $\beta_{0}$값으로 결정된다)
2. 미래에 반응변수(Y) 값을 예측
선형회귀모델의 분류
X 변수의 수, X변수와 Y변수의 관계의 선형성 여부에 따라 구분
선형회귀 모델
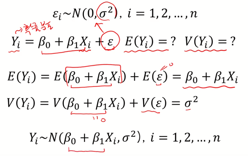
선형회귀 모델의 가정
가정이 성립되지 않으면, 선형회귀 모델을 만들 수는 있지만, 만든 모델의 신빙성이 떨어진다.
$y_{i}$ 는 이 정규분포로부터 나온 점들이다.
선형회귀 모델
[참조] 김성범 교수님의 https://www.youtube.com/watch?v=4Yo297HQyAk 를 요약한 것 입니다.
반응형
'Machine Learning > Algorithm' 카테고리의 다른 글
Whitening transformation (0) | 2019.10.14 |
---|---|
Linear Regression (선형회귀모델) - 2 (파라미터 추정, 최소제곱법) (0) | 2019.10.13 |
Local Outlier Factors (LOF) (0) | 2019.10.07 |
Random Forest (랜덤 포레스트) (0) | 2019.09.23 |
Outlier Detection (standard deviation v.s. interquartile range) (0) | 2019.08.21 |