- 로지스틱 회귀모델 필요성
- 범주형 반응변수
- 이진변수 (반응변수 값 : 0 or 1)
- 멀티변수 (반응변수 값 : 1 or 2 or 3 이상)
- 선형회귀모델과는 다른 방식으로 접근해야할 필요성
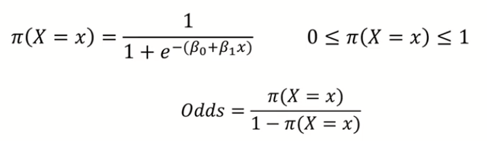
- 로지스틱 회귀모델 이론 배경

- 로지스틱 회귀분석 알고리즘 - 로지스틱 함수

- Logistic function, Sigmoid function, Squashing function (Large input → Small output)
- 아웃풋 범위 : 0~1
- 인풋값에 대해 단조증가 (혹은 단조감수) 함수
- 미분 결과를 아웃풋의 함수로 표현 가능 (Gradient learning method에 유용하게 사용)


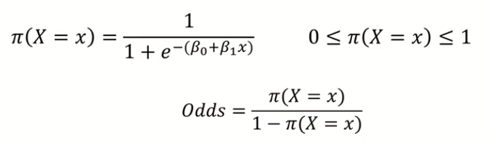
- 로지스틱 회귀모델 - b1의 해석

- 승산 (Odds)
- 성공 확률을 p로 정의할 때, 실패 대비 성공 확률 비율

- 로지스틱 회귀모델 - b1의 해석 - Odds

- Odds : 범주 0에 속할 확률 대비 범주 1에 속할 확률
(The ratio of the probability of belonging to class 1 to the probability of belonging to class 0)

- Logit Trasform (로짓 변환) : Odds 계산 후, 로그 씌우는 것
- 로짓 변환을 하면, 베타1의 해석이 그래도 좀 더 나아짐.
- x가 1 증가하면, 베타1만큼 log(odds) 값이 증가한다. 그러나 log(odds)가 직관적이지 않기 때문에 선형회귀보다는 해석이 어렵지만, 그래도 이전보다는 낫다.


[참조] 김성범 교수님의 https://www.youtube.com/watch?v=l_8XEj2_9rk&t=948s 를 요약한 것입니다.
'Machine Learning > Algorithm' 카테고리의 다른 글
| 인공 신경망 (Neural Network) (0) | 2020.03.12 |
|---|---|
| Logistic regression (로지스틱 회귀모델) - 2 (학습, 해석) (0) | 2020.03.11 |
| Linear Regression (선형회귀모델) - 4 (R2, ANOVA) (0) | 2020.02.12 |
| Linear Regression (선형회귀모델) - 3 (파라미터 구간 추정, 가설 검정) (0) | 2020.02.10 |
| PCA reconstruction for anomaly detection (0) | 2020.02.06 |